(1.福建技术师范学院,福州350300;2.福融新材料股份有限公司,福州350300;3.江苏丰远新材料科技有限公司,江苏宿迁223800;4.天津华恒新材料股份有限公司天津300450;5.食品软塑包装技术福建省高校工程研究中心,福州350300)
摘要:将丙烯酸乙酯接枝至甲壳素上,通过三层流延共挤制备聚丙烯/改性甲壳素厌氧生物降解薄膜。通过核磁共振、傅里叶变换红外、拉曼光谱、热失重分析、差示扫描量热、扫描电子显微镜、薄膜物理性能测试、堆肥厌氧降解实验等,对甲壳素接枝丙烯酸乙酯进行表征,对聚丙烯/改性甲壳素厌氧生物降解助剂的加工性能,薄膜的物理性能、降解性能进行测试。结果表明,丙烯酸乙酯成功接枝至甲壳素上,甲壳素的热分解温度提高至340℃。在3%单甘酯的协调作用下,改性甲壳素含量为10%的厌氧生物降解助剂的流动性、改性甲壳素在助剂中的分散性得到改善。在厌氧生物降解薄膜中,改性甲壳素含量≤1.5%时,可以起到异相成核作用,聚丙烯结晶度提高,熔点提高,结晶速率加快。薄膜的纵向拉伸强度,在改性甲壳素含量为2%时,达到12.8MPa的最大值,而薄膜的断裂伸长率则不断下降,韧性降低,此时薄膜的透光率为87.6%,雾度为4.6%,薄膜的雾率低于双向拉伸聚丙烯(BOPP)国家标准的要求。将改性甲壳素含量为1.5%的聚丙烯薄膜进行堆肥厌氧降解实验,聚丙烯薄膜的降解率随堆肥时间的增加而不断增加,到56天时,平均降解率达到9.19%。
关键词:甲壳素;接枝改性;聚丙烯薄膜;厌氧生物降解;三层流延共挤
前言
双向拉伸材料是包装领域中非常重要的包装材料,主要包括BOPLA、双向拉伸聚酯(BOPET)、BOPP、双向拉伸聚乙烯(BOPE)等,其中,BOPP是双向拉伸薄膜中产量最大的包装材料[1],也称为“包装皇后”,应用领域广泛,但BOPP薄膜多为一次性使用,回收难度大,回收价值低,又难以降解,废弃后容易造成环境污染问题[2-3]。近些年来,国内外纷纷发展生物可降解包装材料来解决软塑包装材料的污染问题[4-5],主要包括以聚乳酸(PLA)、聚羟基链烷酸酯(PHA)以及聚羟基丁酸酯(PHB)等为代表的生物基可降解材料[6-10];以聚己二酸/对苯二甲酸丁二醇酯(PBAT)为代表的石油基可降解材料[11-12];以淀粉、纤维素等为代表的天然高分子生物可降解材料[13-15];以及在传统石油基材料中添加光敏剂形成的光、氧降解材料等类型[16]。生物基为代表的PLA、PHA、PHB近年发展飞速,但生物基材料来源依靠生物发酵,产量低、价格高,限制其大规模使用。以PBAT为代表的石油基可降解材料,依然来源石油,降解依靠堆肥式,非堆肥环境下并不能有效降解,且价格较高;而以淀粉、纤维素为代表的天然高分子生物可降解材料,热稳定性差,分解温度较低,改性后熔融加工难度依然较大,应用场景受到限制[17-18]。因此,以上这些可降解包装材料目前还难以取代软塑包装材料的应用领域。
本课题针对传统软塑包装材料难以降解的问题,在BOPP薄膜生产的三层流延共挤阶段,开发以改性甲壳素为降解助剂的厌氧式生物可降解聚丙烯薄膜,薄膜结构如图1所示。甲壳素(Chitin)是一种含碳、含氮聚合物,分子式为(C8H13NO5)n,广泛存在于虾、蟹和蠕虫等甲壳类动物的外壳中,自然界来源广泛[19]。甲壳素化学性质稳定,不溶于水、稀酸、碱、乙醇或其他有机溶剂,没有明确的熔融温度,但热分解温度在270℃以上[20],而常见的聚丙烯加工温度通常在230℃以下,甲壳素的化学稳定性及耐热性非常适合同聚丙烯材料共同加工,制备成生物降解薄膜。该薄膜在正常储存环境下对光、氧、微生物不发生降解,不影响产品使用周期,不会改变现有聚丙烯薄膜的功能与外观,在堆肥的厌氧环境下,甲壳素可以作为碳源、氮源而被微生物降解利用,成为微生物的营养物质来源,分解产物为水、二氧化碳、甲烷等小分子物质。待微生物消耗完甲壳素后,转而进一步分解聚丙烯,使聚丙烯薄膜穿孔、碎片化,从而达到实现聚丙烯薄膜降解的目的。结构如图1所示。

图1聚丙烯/改性甲壳素厌氧生物降解薄膜的三层共挤结构
Fig.1 Three-layer co-extrusion structure of modified chitin/polypropylene anaerobic biodegradable film
1实验部分
1.1主要原料
聚丙烯,T30S,福建联合石油化工有限公司;
甲壳素,C104157(微米级),上海阿拉丁生化科技股份有限公司;
硝酸铈铵,A105053,上海阿拉丁生化科技股份有限公司;
丙烯酸乙酯,E112943,上海阿拉丁生化科技股份有限公司;
单硬脂酸甘油酯,分析纯,天津市华盛化学试剂有限公司;
微晶纤维素,C104841,上海阿拉丁生化科技股份有限公司。
1.2主要设备及仪器
双螺杆挤出造粒机,SHJ-36,南京聚力化工机械有限公司;
薄膜流延实验线,MESI25(30)/30,广州市普同实验分析仪器有限公司;
熔融流动速率测试仪,XRD-400D,承德市永昊试验机有限公司;
精密增力电动搅拌器,JJ-1,常州智博瑞仪器制造有限公司;
数显恒温水浴锅(箱),HH-1,江苏科析仪器有限公司;
超导核磁共振波谱仪,AVANCEIII-HD,德国布鲁克公司;
差示量热扫描仪(DSC),DSC8000,美国PerkinElmer公司;
智能型傅里叶变换红外光谱仪(FTIR),NICO-LET380,美国Thermo公司;
高灵敏度拉曼光谱仪,ATR8300AF,厦门奥谱天成光电有限公司;
热失重分析仪(TG),HTG-1SD,北京恒久实验设备有限公司;
扫描电子显微镜(SEM),GeminiSEM360,德国蔡司公司;
智能拉力机,XCWCP-CD,济南兰光机电技术有限公司;
雾度透光率测试仪,YK-SGW810,东莞市友科自动化设备有限公司;
总有机碳分析仪,enviroTOC,德国Elementar公司;
电热鼓风干燥箱,101A-2,上海粤明科学仪器有限公司;
自动凯氏定氮仪,K9840,上海双旭电子有限公司;
气体检测器,APES-Z2-F,深圳市安帕尔科技有限公司;
厌氧培养箱,YQX-II,上海双旭电子有限公司。
1.3样品制备
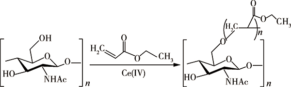
甲壳素与丙烯酸乙酯的接枝共聚:在烧杯中加入100mL纯净水,并加入4.2g丙烯酸乙酯、1g甲壳素、8.8g硝酸铈铵,将混合物置于精密增力电动搅拌器中搅拌,转速60r/min,温度60℃,匀速搅拌聚合2h。将聚合反应后的混合物通过滤纸分离,并用NaOH稀碱溶液清洗,除去附着在甲壳素游离氨基上的酸性残基,随后用纯净水多次冲洗,用抽滤机抽去聚合物中的液体,抽滤完成后在烘箱中80℃干燥24h,干燥后研磨打散成粉,得到改性甲壳素粉末。其接枝共聚反应过程如图2所示。由图2可知,丙烯酸乙酯碳碳双键在引发剂硝酸铈铵Ce(IV)的作用下打开,与甲壳素中羟基发生自由基聚合,丙烯酸乙酯接枝到甲壳素上,得到改性甲壳素[21],一定程度上,减少了甲壳素中羟基的含量,增加了甲基(—CH3)和亚甲基(—CH2—)的含量,理论上可以增加甲壳素与聚丙烯的相容性。

图2甲壳素接枝丙烯酸乙酯的化学反应化学式
Fig.2 Chitin grafted ethyl acrylate chemical reaction chemical Formula
厌氧生物降解助剂(母料)的制备:按表1的配比分别称取聚丙烯、改性甲壳素、单硬酯酸甘油酯(单甘酯)3种原料,合计为200g,将三者置于高速混合机中混合10min后,置于双螺杆挤出造粒机中造粒,造粒机主机转速80r/min,喂料速度4r/min,温度设置如表2所示,造粒后切粒得到厌氧生物降解助剂,改性甲壳素在助剂中的质量占比(含量)分别为0、2%、4%、6%、8%、10%,单甘酯在助剂中的质量占比(含量)分别为0、1%、2%、3%、4%、5%。

表1聚丙烯/改性甲壳素厌氧生物降解助剂制备比例
Tab.1 Preparation ratio of polypropylene/modified chitin anaerobic biodegradation additives

表2 双螺杆挤出机的加工温度
Tab.2 The processing temperature of the twin-screw extruder
聚丙烯/改性甲壳素厌氧生物降解薄膜的制备:将厌氧生物降解助剂添加至聚丙烯中,利用三层流延共挤设备,制备聚丙烯/改性甲壳素厌氧生物降解薄膜,流延机A、B、C机的物料添加量均为500g,薄膜三层厚度相同,改性甲壳素在聚丙烯薄膜中的质量占比(含量)分别为0、0.5%、1%、1.5%、2%、2.5%。设定A机、B机、C机主机速率为20r/min,流延辊速率为2.4m/min,牵引辊速率为2.5m/min,收卷辊速率为2.5m/min。薄膜制备的具体加工工艺温度设定见表3。

表3 三层流延共挤加工工艺温度 ℃
Tab. 3 Three-layer cast co-extrusion process temperature
1.4性能测试与结构表征
碳谱分析:采用超导核磁共振波谱仪依据NMRC检测标准测定改性和未改性甲壳素C的化学位移,测试模式CP/MAS,测试分辨率400MHZ,测试得到甲壳素的碳谱图。
FTIR分析:采用FTIR对甲壳素及改性甲壳素进行分析,观察谱图中红外吸收峰变化的幅度,扫描范围为4000~1000cm-1,分辨率为4cm-1。
拉曼光谱分析:采用高灵敏度拉曼光谱仪进行测试,测试温度为25℃,扫描范围为400~3000cm-1,重复次数大于30次,得到甲壳素的拉曼光谱图。
TG分析:样品通过热失重分析仪进行分析测试,在氮气环境下,温度范围为40~600℃,升温速率为10℃/min。
熔体流动速率测试:测定不同比例的母料的熔体流动速率,测定温度为180℃,实验时间为15s/次,载荷数为2.16kg。测定5个有效数值计算其平均值作为该母料的熔体流动速率。
DSC分析:取8mg左右聚丙烯/改性甲壳素厌氧生物降解薄膜,以10℃/min的速率从30℃升温至220℃,保温1min后降至室温。结晶度的计算公式如式(1)所示:

公式1
式中 ∆Hm——聚丙烯样品的熔融焓,J/g
∆H——聚丙烯100%结晶时熔融焓,209J/g
k——聚丙烯在薄膜中的质量分数
拉伸强度与断裂伸长率的测定:按GB/T1040.3—2006标准在室温条件下进行测试,裁取流延薄膜的纵向,试样尺寸为175mm×15mm,夹距长度为50mm,拉伸速率为100mm/min,测定5个有效值后计算平均值作为样品的拉伸强度及断裂伸长率。
透光率与雾度的测定:依据GB/T2410—2008进行测试,每个薄膜随机选择5个点进行测定其透光率、雾度,计算所得数值的平均值作为透光率与雾度的有效数值。
SEM分析:聚丙烯/改性甲壳素厌氧降解助剂脆断面观察:造粒时,截取长度为5cm左右未切粒的聚丙烯/改性甲壳素厌氧降解助剂挤出段,在液氮中冷冻20min后,进行脆断,在脆断面喷金后,观察脆断面甲壳素的分别情况。
薄膜表面SEM观察:将薄膜切割成4mm×6mm大小,在薄膜表面喷金后观察薄膜形貌,加速电压为10kV。
薄膜降解测试:根据ASTMD5511-18标准[22]进行塑料材料的厌氧生物降解测试,试验有效性:(1)阳性控制在30天后的生物分解百分率>70%;(2)在试验结束时每只阳性控制消化容器内的生物分解百分率与平均值之间的偏差≤20%。接种物、阳性控制和试验材料信息表见表4,试验信息表见表5。

表4接种物、阳性控制和试验材料信息表
Tab.4 Inoculum,positive control and test material information Sheet

表5试验信息表
Tab.5 Test information sheet
试验体系信息:①试验在(52±2)℃的恒温、弱光条件下,于2L的试验体系中进行。②接种物来源:自制厌氧消化堆肥,肥龄4个月。使用前在52℃条件下培养7天。③阳性控制微晶纤维素分子式:(C6H10O5)n,分子量:(162.14)n,性状:白色粉末。④测试方法模拟最佳高固体含量的强烈厌氧消化环境,在试验中通过连续监测、定期测量反应容器内生物气体的体积和含量来计算生物气体的累计产量,测试样品中每一摩尔(12mg)有机碳可以转化为1mol气态甲烷或二氧化碳,或两者兼有,在标准温度和压力下,产生的一摩尔气体为22.4mL,通过气体产生量计算容器中生成的碳含量,测试公式如式(2)所示:

公式2
式中 Cg——生成气态碳量,g
Ci——试验材料加入的初始碳含量,g
2结果与讨论
2.1改性甲壳素的表征
2.1.1核磁碳谱分析
对比改性甲壳素和未改性甲壳素的核磁碳谱分析图,由图3可知,改性甲壳素比未改性甲壳素多了3个明显的特征峰,分别为在14.5左右有一个甲基峰,在42.4左右有一个亚甲基峰,在185.4左右有一个酯基峰,都是丙烯酸乙酯的特征峰,和图2理论接枝结果符合,表明丙烯酸乙酯成功接枝到甲壳素上。

图3 改性前后甲壳素碳谱图
Fig. 3 Comparison of modified and unmodified chitin carbon Spectra
2.1.2FTIR分析
对改性前后的甲壳素进行FTIR测试,由图4可知,3450cm-1处的H—O的伸缩振动峰在改性后减弱,说明改性甲壳素的—OH含量减少,羟基中的H被取代。在2900cm-1、2800cm-1处为—CH3和—CH2—的C—H伸缩振动吸收峰,改性甲壳素较未改性甲壳素的吸收峰明显增加,说明C—H含量增加,也就是甲基和亚甲基含量增加。此外,在1735cm-1处新增了一个吸收峰,为C=O—O酯基伸缩振动峰,由此可以看出,丙烯酸乙酯成功接枝到了甲壳素上[23]。

图4 改性前后甲壳素的FTIR谱图
Fig.4 FTIR of modified and unmodified chitin
2.1.3拉曼光谱分析
对改性前后的甲壳素进行拉曼光谱测试,由图5可以看出,改性甲壳素在波数为800cm-1左右处有一个亚甲基波峰,在波数为1400cm-1左右有一个甲基波峰,这两者都是丙烯酸乙酯的特征峰,由此进一步可知,改性甲壳素与丙烯酸乙酯在硝酸铈铵的作用下成功接枝共聚。

图5改性前后甲壳素拉曼光谱图
Fig.5 Raman spectra of modified and unmodified chitin
2.1.4TG分析
对改性前后的甲壳素进行TG测试,由图6可知,改性前后甲壳素在270℃之前的质量变化均不大,在初始热分解前伴有一些质量损失,这些失重主要来自体系中水分的挥发,改性甲壳素在分解初始阶段的质量损失低于未改性甲壳素,这是因为,未改性甲壳素因羟基易吸湿,接枝疏水性的丙烯酸乙酯可减少材料吸湿性,使得分解初期改性甲壳素的质量损失要低于未改性甲壳素。未改性甲壳素,在290℃左右,出现质量的快速损失和分解速率快速增加,此时甲壳素进入快速分解的阶段,而改性甲壳素的快速分解温度在340℃左右,明显高于未改性甲壳素,这是因为丙烯酸乙酯的接枝可在甲壳素分子链间形成交联网络,这种交联结构限制了分子链的运动,提高了材料的热稳定性,导致分解温度上升。因此,改性甲壳素在同聚丙烯共混的熔融加工中,可以表现出更好的热稳定性。

图6 改性前后的甲壳素的TG和DTG曲线
Fig.6 TG and DTG curves of modified and unmodified chitin
2.2厌氧生物降解助剂熔体加工性能研究
2.2.1改性甲壳素对聚丙烯熔体流动速率的影响
改性甲壳素的添加对聚丙烯加工流动性能有较大影响,按表1配比1~5制备厌氧生物降解助剂,由图7可知,随着改性甲壳素在聚丙烯中含量的增加,聚丙烯的熔体流动速率呈下降的趋势,当甲壳素含量达到10%时,聚丙烯的熔体流动速率下降到1.2g/10min。这是由于甲壳素为极性天然高分子材料,分子链刚性强,聚丙烯为非极性聚烯烃聚合物,分子链柔顺,二者混合制备厌氧生物降解助剂时,由于二者分子链间界面结合较弱,易发生相分离,因此,甲壳素的添加会使得聚丙烯加工流动性变差,不利于聚丙烯的加工。

图7改性甲壳素对聚丙烯熔体流动速率的影响
Fig.7 Effect of modified chitin on polypropylene melt flow rate
2.2.2单甘酯对厌氧生物降解助剂熔体流动速率的影响
为改善厌氧生物降解助剂的加工流动性,按表1配比6~10在降解助剂中加入单甘酯添加剂,单甘酯在聚烯烃材料的加工中,具有一定的润滑和增容作用[24]。由图8可知,随着单甘酯含量的增加,聚丙烯/改性甲壳素厌氧生物降解助剂的熔体流动速率快速增加,当单甘酯含量超过3%后,厌氧生物降解助剂熔体流动速率增加趋于平缓,单甘酯的添加对厌氧生物降解助剂熔体流动速率的增加并不成正比,这是由于单甘酯的添加可以降低聚丙烯的熔体黏度,改善甲壳素与聚丙烯的共混加工性,但单甘酯是小分子物质,在高温挤出加工过程中,过量的单甘酯容易析出,造成厌氧生物降解助剂熔融流动速率非等比例增加。因此,本实验单甘酯在厌氧生物降解助剂中的添加量以3%为宜。

图8 单甘酯的添加对聚丙烯/改性甲壳素厌氧降解助剂熔体流动速率的影响
Fig.8 Effect of monoglyceride addition on melt flow rate of modified chitin/polypropylene anaerobic degradation additives
2.2.3SEM分析
图9为甲壳素含量为10%的厌氧生物降解助剂脆断面的SEM照片。由图9可知,未添加单甘酯的聚丙烯/甲壳素厌氧生物降解助剂,甲壳素在聚丙烯中的分散不均匀,出现较多的团聚,添加了3%单甘酯后,甲壳素的分散要优于前者,但依然少量团聚,而添加3%单甘酯的聚丙烯/改性甲壳素厌氧生物降解助剂,改性甲壳素在聚丙烯中的分散要好于前两者。这是由于单甘酯同时含有脂肪酸链与羟基,单甘酯中的羟基与改性甲壳素的羟基/氨基可形成氢键或范德华力,增强界面结合,单甘酯的脂肪酸链与聚丙烯的碳链形成物理纠缠,降低聚丙烯分子链间的界面张力,降低表面能,促进改性甲壳素在聚丙烯基体中的分散,减少团聚。另一方面,改性甲壳素中甲基、亚甲基含量的增加,进一步加强了改性甲壳素与聚丙烯的相容性,因此,改性甲壳素在单甘酯的协同作用下,在聚丙烯中的分散效果更好。后续以表1中配比8制备的厌氧降解助剂添加至薄膜中进行进一步实验。

图9厌氧生物降解助剂脆断面的SEM照片
Fig.9 Electron microscopy of brittle section of anaerobic biodegradation additives
2.3改性甲壳素的添加对薄膜性能的影响
2.3.1改性甲壳素对薄膜熔融结晶的影响
对聚丙烯/改性甲壳素厌氧生物降解薄膜的熔融结晶性能进行测试,得到聚丙烯/改性甲壳素厌氧降解薄膜DSC曲线,如图10所示,并计算聚丙烯的结晶度,如表6所示。由图10(a)的熔融曲线可知,少量改性甲壳素的添加,聚丙烯的熔点提升,当改性甲壳素含量超过1.5%时,聚丙烯的熔点又出现下降的趋势。图10(b)结晶曲线与熔融曲线相似,少量改性甲壳素的添加,聚丙烯的结晶温度提高,结晶速率加快,结晶度提高,而当改性甲壳素含量超过1.5%时,聚丙烯的结晶速率反而下降,结晶度降低。这是因为,少量改性甲壳素在共混体系中,可以较好的分散开,起到异相成核剂的作用,促进PP结晶,结晶速率加快,结晶度提高,PP的熔融温度和结晶温度均提高,当改性甲壳素含量超过2%时,过多的甲壳素发生团聚的概率增大,阻碍了PP分子链运动,抑制PP的结晶过程,导致PP的结晶度下降,PP的熔融温度和结晶温度又出现降低的趋势。

图10 聚丙烯/改性甲壳素厌氧降解薄膜的DSC曲线
Fig.10 DSC curves of modified chitin/polypropylene anaerobic degradable films

表6 薄膜中改性甲壳素含量对聚丙烯熔融结晶的影响
Tab.6 Effect of modified chitin content in film on polypropylene melt crystallization
2.3.2改性甲壳素的添加对薄膜的力学性能影响
改性甲壳素的添加对薄膜力学性能的影响如图11所示,薄膜的纵向拉伸强度随改性甲壳素含量的增加而增加,当改性甲壳素含量达到2%时,薄膜纵向拉伸强度达到最大值,为12.8MPa,随后下降。当改性甲壳素在聚丙烯中少量添加时,可作为增强填料,提升薄膜的拉伸强度,当改性甲壳素含量超过2%时,过多的改性甲壳素出现部分分散不均或者团聚,会导致应力集中,在薄膜拉伸时引发裂纹扩展,加速材料断裂,拉伸强度下降。由于改性甲壳素刚性强,其引入会阻碍PP分子链的拉伸取向和塑性形变,薄膜的韧性下降,断裂伸长率表现为不断下降。

图11 改性甲壳素的添加对薄膜的拉伸强度和断裂伸长率的影响
Fig.11 Effect of the addition of modified chitin on the tensile strength and elongation at break of the film
2.3.3改性甲壳素的添加对薄膜透光率/雾度的影响
改性甲壳素对薄膜透光率、雾度的影响如图12所示,由于甲壳素为微米级不透明粉末,对入射光的透过有阻碍和反射作用,随着改性甲壳素含量的增加,薄膜的透光率下降、雾度增加,当改性甲壳素含量达到1.5%时,薄膜的透光率为90.2%,雾度为3.3%,当甲壳素含量达到2%时,薄膜的透光率为87.6%,雾度为4.6%,薄膜的雾率低于BOPP国家标准≤4%要求[25]。因此,结合图10~12,薄膜中改性甲壳素添加量控制在1.5%为宜。

图12改性甲壳素的添加对薄膜透光率、雾度的影响
Fig.12 Effect of the addition of modified chitin on the light transmittance,haze of the film
2.4改性甲壳素的添加对薄膜降解性能的影响
将改性甲壳素含量为1.5%的聚丙烯厌氧降解薄膜,按ASTMD5511-18标准进行厌氧降解试验,定期监测空白对照、阳性参比物、改性甲壳素降解膜各反应瓶中产生的气体体积,见表7,通过气体体积计算各反应瓶累计气态碳产生量,见表8,并通过累计碳含量计算56天聚丙烯薄膜的降解率,见表9和图13。由表9、图13可知,聚丙烯薄膜在厌氧微生物的作用下,降解率逐渐提升,到56天时,平均降解率达到9.19%,高于改性甲壳素在聚丙烯中1.5%的添加量,这是因为厌氧微生物将改性甲壳素当成能量来源,当改性甲壳素被微生物消耗后,繁殖起来的微生物转而将改性甲壳素附近的聚丙烯当成能量来源,逐渐分解聚丙烯,出现聚丙烯薄膜穿孔的现象,见图14(e),从而导致聚丙烯薄膜的降解率不断增加。

表7 试验过程中产生气态碳体积
Tab.7 The volume of gascarbon is generated during the test

表8 试验过程中产生气态碳质量
Tab.8 The amount of gas carbon produced during the test

表9 试验过程中生物分解百分率及其平均值
Tab.9 The percentage of biodegradability and its average value during the experiment

图13 阳性控制和聚丙烯降解膜平均生物分解百分率-时间曲线
Fig.13 Average biodegradability-time curves of positive control and polypropylene degradable films

图14 聚丙烯降解膜降解前后表面的SEM照片
Fig.14 Enlarged view of surface electron microscopy before and after degradation of polypropylene degradable films
厌氧降解试验结果有效性分析:(1)阳性控制组29天的生物分解率为91.79%、93.13%和90.6%,平均值为91.94%,符合30天内阳性控制生物分解百分率大于70%的要求;(2)试验56天时阳性控制组反应容器内生物分解百分率与平均值之间的偏差分别为2.38%、1.9%和4.13%,均不超过20%。
3结论
(1)丙烯酸乙酯在引发剂硝酸铈铵Ce(IV)的作用下与甲壳素成功接枝共聚,甲壳素的热分解温度提高至340℃,表现出更好的热稳定性;改性甲壳素含量为10%的厌氧生物降解助剂,在3%单甘酯的协同作用下,厌氧生物降解助剂的流动性改善,改性甲壳素表现出与聚丙烯更好的相容性和分散性;
(2)在聚丙烯厌氧生物降解薄膜中,少量改性甲壳素的添加,可以起到异相成核作用,加快聚丙烯结晶,聚丙烯结晶度提高,熔点和结晶速率增加,过多则会造成聚丙烯结晶度下降,熔点降低;
(3)薄膜的纵向拉伸强度,在改性甲壳素含量为2%时,达到12.8MPa的最大值,随后下降,薄膜韧性随改性甲壳素的添加而降低,断裂伸长率下降;薄膜的透光率和雾度随改性甲壳素的添加不断下降,当改性甲壳素在聚丙烯薄膜中添加量为2%时,薄膜的透光率为87.6%,雾度为4.6%,薄膜的雾率低于BOPP国家标准≤4%的要求;因此,改性甲壳素在聚丙烯薄膜中的添加量控制在1.5%为宜;
(4)将改性甲壳素含量为1.5%的聚丙烯薄膜进行堆肥厌氧降解实验,聚丙烯降解薄膜在厌氧微生物的作用下,降解率逐渐提升,到56天时,平均降解率达到9.19%,高于改性甲壳素在聚丙烯当中1.5%的添加量。
参考文献:
[1]卢洪超,徐 萌,权 慧,等.双向拉伸过程中聚丙烯薄膜结构与性能的演变[J].塑料工业,2023,51(9):82-87.
[2]胡延庆,胡凡,周剑池,等.废弃塑料回收与转化的研究进展[J].中国塑料,2024,38(4):79-87.
[3]许振,高通,刘雪琪,等.废弃塑料的升级回收利用:策略、现状与前景[J/OL].科学通报:2862-2877.
[4]韦丽明.全球落实2030可持续发展议程举措及塑料薄膜/片及未来包装产业可持续发展的趋势研究[J].塑料包装,2022,32(3):1-10.
[5]文麒霖,贾雪华,孙炎君,等.生物可降解塑料包装薄膜的制备及应用进展[J].中国塑料,2024,38(9):112-122.
[6]王正祥.我国聚乳酸产业发展现状与对策研究[J].中国工程科学,2021,23(6):155-166.
[7]PAKALAPATI H,CHANG C K,SHOW P L,et al.Develop-ment of polyhydroxyalkanoates production from waste feedstocks and applications[J].Journal of Bioscience and Bioengineering,2018,126(3):282-292.
[8]李冬娜,马晓军.聚羟基烷酸酯降解包装材料的生物合成及进展[J].包装工程,2020,41(5):128-136.
[9]ROOHI,ZAHEER MR,KUDDUS M.PHB(poly-β-hydroxybu-tyrate)and its enzymatic degradation[J].Polymers for Advanced Technologies,2018,29(1):30-40.
[10]AKHLAQ S,SINGH D,MITTAL N,et al. Polyhydroxybutyrate biosynthesis from different waste materials,degradation,and analytic methods:ashort review[J].PolymerBulletin,2022,5(5):1-33.
[11]杨 帆,吴 宏,马双翼.PBAT及其改性复合材料的研究进展与应用[J].广东化工,2024,51(21):17-19.
[12]AN H W,WANG Y,JIA S L,et al. Biodegradable poly(butyl-ene adipate-co-terephthalate)/poly(glycolicacid)films:Effectofpoly(glycolic acid)crystal on mechanical and barrier properties[J].ChineseJournalofPolymerScience,2023,41(7):1123-1132.
[13]朱 建,陈 慧,卢 凯,等.淀粉基生物可降解材料的研究新进展[J].高分子学报,2020,51(9):983-995.
[14]王子璇,谢 晶,薛 斌,等.壳聚糖食品包装膜研究进展[J].食品工业科技,2019,40(6):303-307,311.
[15]王 笑,刘 哈,王月莹.可再生高强度纤维素基包装材料制备及其智能化应用[J].中国造纸,2024,43(7):149-158.
[16]蒋凤华,谢林青,孙承君,等.常见塑料薄膜制品在UV作用下的性能变化特征[J].科学通报,2021,66(13):1571-1579.
[17]徐春梅,井丽敏,张 斌,等.热塑性淀粉基薄膜研究进展[J].功能材料,2024,55(2):115-123.
[18]石 洁,王雪嵘,徐朝阳.食品包装用壳聚糖薄膜的研究进展[J].包装工程,2022,43(3):42-50.
[19]周 忆,杨皓月,邢荣娥,等.利用微生物法两步发酵从虾壳中提取甲壳素的绿色制备工艺研究[J].海洋科学.2024,48(9):94-102.
[20]付 宁,杨俊玲,倪 磊.壳聚糖制备条件的研究和结构表征[J].天津工业大学学报,2009,28(2):63-66.
[21]HSU S T,LIN W C,HSIAO W F,et al. Preparation of meth-acrylic acid-grafted chitin using cerium(IV)ion and its application in adsorbing paraquat[J].Journal of Applied Polymer Science,2012,127(1):760-764.
[22]Committee D20.D5511-18 standard test method for determining anaerobic biodegradation of plastic materials under high-solids an-aerobic-digestion conditions[S].West Conshohocken,United States:ASTM International,2018.
[23]FENG M,LU X M,HOU D F,et al.Solubility,chain charac-terization,and derivatives of chitin[M].Handbook of Chitin and Chitosan.Netherlands:Elsevier Inc,2020:101-129.
[24]殷晶莉,杨占红.单甘酯的合成及在塑料工业中的应用[J].塑料助剂,2012,6:11-15.
[25]刘荣炽,张广强,方大观,等.GB/T10003-2008普通用途双向拉伸聚丙烯(BOPP)薄膜[S].北京:中国国家标准化管理委员会,2008.













玻纤含量对长玻纤...
钙钛矿薄膜的均匀...
用于光伏板静电除...
聚砜医疗干粉吸入...





